点击率:1833
上周五11月25日,西澳再发邀请,这是西澳本财年的第四轮邀请。
.png)
获邀数量:
General Schedule 1: 190获邀510个,491获邀458个
General Schedule 2: 190获邀463个,491获邀1037个
Graduate-higher education graduates: 190获邀1069个,491获邀327个
Graduate-vocational education and training graduates:
190获邀376个,491获邀260个
.png)
EOI分数情况:
General stream-WASMOL schedule 1: 65分
General stream-WASMOL schedule 2: 85分
Graduate-higher education graduates: 80分
Graduate-vocational education and training graduates:65分
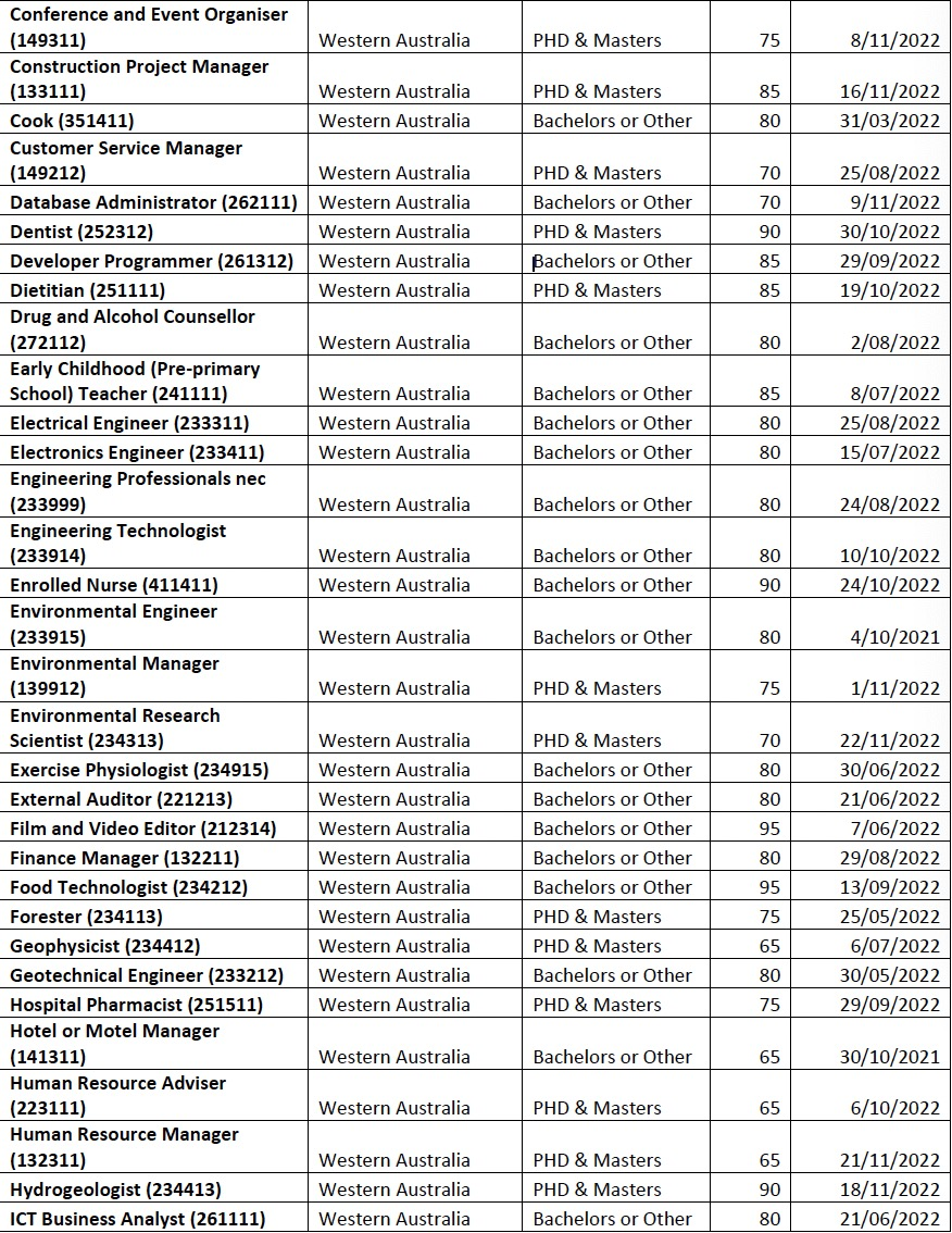
具体获邀情况:
【General stream-WASMOL schedule 1】
.png)
.png)
-分数区间从65-95分
-65分的职业包括多为包括注册护士在内等的医护类职业
-多为海外申请人
【General stream-WASMOL schedule 2】
.png)
.png)
.png)
-分数区间从85-95分,多为85分
-获邀者均为本地申请人
【Graduate-higher education graduates】
.png)
.png)
.png)
.png)
-分数区间从65分-105分。
-获邀均为本地申请人。
-学历水平包括Bachelors or Other和PHD&Masters,数量上没有太大的差异。
【Graduate-vocational education and training graduates】


-获邀分数区间从65-95分,多集中在65-75分。
-均为本地申请人获邀。
累计邀请数量:
.png)
-本轮190共计邀请2418人,其中Graduate Stream更是邀请了1000人以上。491共计邀请2082人。
-本轮邀请总数为4500人。本财年截止至今共发放了四轮邀请,共计邀请11079人。
-从总体来看,西澳连续两轮邀请超过4500人,足以证明西澳邀请的诚意!





